摘 要 : 常见的微灌工程设计的管道流量计算是依据 GB /T 50485-2020《微灌工程技术规范》,采用最不利水力条件下的管道运行场景,要求灌水器所有流量变差不超过 10% 的计算精度下,可以认为毛管或支管其上所有灌水器出水流量是一样的,其上所有灌水器流量的总和就是要计算的毛管或支管的总流量。与此不同,推荐一种不去计算毛管或支管灌水器总数和总流量,而是基于微灌工程设计规范公式(3.2.3-1) 的变形,灌溉区域控制面积或灌水器控制面积的概念,提出根据控制面积计算控制区域总流量或灌水器流量总和的方法,从而引出一种实用的、并且满足工程计算精度要求的,管道设计水力分析的流量计算方法。
关键词 : 灌溉管道; 流量计算; 支管控制面积; 灌水器控制面积
中图分类号 : S275.5 文献标识码 : A
(经作者授权部分摘录转发)
微灌系统的流量计算是依据管网布置,按照最不利水力条件的应用场景逐段进行的,对地形、管网水力学运行场景等分 析条件要求较高,遇到环状管网、随机运行,轮灌制度多变时,
仅采用支状管网、单一支管或毛管计算存在一定的误差 。参考文献 [1] 给出了复杂管网的精确分析计算方法,参考文献 [2-4,7] 都是试图通过细分出管网的管段水力计算模型得到计算 结果 。模拟真实运行条件下的管道流量、压力,解决了水力分 析中流量确定的问题 [5] 。
然而,计算假定的运行场景管网水力条件并不是普遍条件,不能够说明其假定条件就是真实的运行条件 。对于灌溉工微灌系统的流量计算是依据管网布置,按照最不利水力条件的应用场景逐段进行的,对地形、管网水力学运行场景等分析条件要求较高,遇到环状管网、随机运行,轮灌制度多变时,仅采用支状管网、单一支管或毛管计算存在一定的误差 。参考文献 [1] 给出了复杂管网的精确分析计算方法,参考文献 [2-4,7] 都是试图通过细分出管网的管段水力计算模型得到计算 结果 。模拟真实运行条件下的管道流量、压力,解决了水力分 析中流量确定的问题 [5] 。
计算假定的运行场景,不能够说明其假定条件就是真实的运行条件 。对于灌溉工程来说,管道在运行过程中工作水头压力允许有 20% 的误差, 灌水器出水流量允许有 10% 的误差,在这种条件下可以认为管 道的灌水器流量是不变的或者说毛管、支管的流量就是毛管、支管上所有的灌水器的流量总和。
对于小型灌溉项目,常常会碰到“以水定地”的问题,以水定地就是有多少水(水源来水量) 灌多少地 。假定水源的总来 水量是 Q(m3 / h) ,计算目标就是把这个水量用完,能够灌溉多少面积土地 。本 文 利 用 GB /T 50485-2020《微灌工程技术规 范》公式(3.2.3-1) 的基本概念,给出一种更加方便计算的、也更加简便的基于管道控制的灌溉面积,直接计算管道的流量计算方法。
1 计算公式
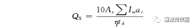
GB /T 50485-2020《微灌工程技术规范》公式(3.2.3-1) 从水量平衡的角度给出了在供水量给定的条件下,如果没有淋洗要求,灌溉面积 A 按公式( 1) 计算 :
(1)

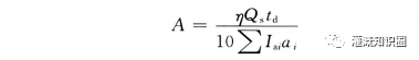
文献 [5] 公式(2) 给出了需要灌溉的面积 A已经确定时, 要求计算水源需水量 Qs,或者是水泵的流量、扬程的计算方法。 对上述公式做出变换,给出补充满足作物一天耗水量的水源需水量的简单计算方法 :
(2) 


进一步,给出针对任意灌溉控制面积 Ai 的灌水需要流量 的计算公式 :
(3)
式中 : Qi 为单元设计流量,m3 / h;Ai 为单元设计控制面积,hm2 ; ti 为单元设计灌水时间,h ; mi 为单元设计灌溉定额,mm / d ; η 为设计灌溉水利用系数。
公式(3) 的形式与公式 (2) 一样,但是具体的含义已经改 变 。采用公式(3) 计算,就可以计算出设计灌溉单元控制面积 Ai 对应的 Qi,而且 mi,ti,η 可以采用系统设计时单元工作要求 的灌水定额和灌水时间。
应当特别指出的是,如 Ai 对应支(毛) 管的灌水控制面积,这个控制面积就是支(毛) 管开启后其通过的水流能够达到区 域的面积,Qi 就是支管的设计流量 。简单地说,如 Ai 对应灌水 器,Qi 就是灌水器的设计流量 。至此,利用 GB /T 50485-2020 《微灌工程技术规范》的水量平衡计算原理,得到管道流量的具 体计算公式 。满足工作压力及流量均匀度的偏差要求是公式成立的前提条件,也是管道流量计算精度满足工程项目计算要 求的关键因素。
2 控制面积
为了更好地说明灌溉控制面积的含义,加深对高效灌溉水 力计算分析实用方法的理解,这里提出以下基本的概念定义。
定义灌溉单元为 : 支管、毛管或出水口由单一闸阀控制下 的灌溉区域。
定义灌溉单元控制面积为 : 单元灌溉水流能够达到的、单元控制下的所有地块面积。
定义灌溉单元设计流量为 : 灌溉单元控制面积所需要的灌溉水设计流量。
有了以上定义,已知控制面积,采用公式(3) 计算其对应的 设计流量就更加容易理解。

图 1 微灌灌水器控制面积
如图 1 所示,S 是灌水器的间距, L是毛管的间距,即对单 一灌水器来说,其灌水控制面积就是 L× S 。注意这个控制面积 并不是灌水器的湿润面积,它仅仅是表明灌水器能够分配到的单元面积,含有湿润面积部分,同时大于湿润面积 。基于灌水器控制面积可以计算出整个微灌系统使用的灌水器数量 。
公式(3) 的 Ai 可以是图 1 中的灌水器控制面积,也可以是毛管或支管水流能够到达区域的面积 。具体来说,可以将其定义为控制闸阀下游的灌水面积 。如果,闸阀以下的控制面积是Ai (hm2 ) ,其对应的灌水流量就是公式(3) 的 Qi,见图 2。

图 2 微灌毛管对应的控制面积
有不少专业书,特别是农业灌溉的专业书,采用一次灌溉使土壤含水量达到田间持水量的某一定值,等植物消耗完土壤内的有效水分后,再灌溉一次的方法,这就是周期轮灌的思路 。而采用一次灌 溉满足植物一天耗水量的设计理念,也即一次灌溉的用水量就是作物一天所需水量相对更加合理 。这也是现代微灌特别是自动化灌溉系统设计常用的作物灌溉计算场景的假定条件。
这里应当指出,根据物质的质量不变定律,无论是一次灌水满足作物一天耗水量,还是一次灌水满足作物 T 天的耗水总量,面积 Ai 上同等时段内两种方法的满足植物耗水需求的灌水总量 Qi 是一样的,也即其需要的灌水总时间是不变的。
3. 结 语
根据国家标准 GBT50485-2020《微灌工程技术规范》 公式(3.2.3-1) 进行变 换,得到本文的公式 ( 3 ) 。把 支 管、毛管或出水口由单一闸阀控制下的灌溉区域定义为灌溉单 元 。灌溉单元控制面积是指灌溉单元控制下水流能够到达的 地块面积 。那么灌溉单元设计需要的灌溉水流量可由公式(3)计算 。这个公式可以推广到依据灌水器、支管、干管等控制面积,从而计算进水口端对应的管道过水总流量,更进一步,在微灌工程上还可以利用灌水器控制面积的大小,计算出灌溉控制 面积内的所有灌水器的数量,甚至于灌溉使用的支 ( 毛) 管的 数量。
参考文献 :
[1] 姜 伟,邱 元 锋,李 小 平,等.复杂管网数学模型及其分析方法 [J].中国农村水利水电,2009,(7) : 45-47.
[2] 李 鸣.管网基本定理及其数学模型 [J].节水灌溉,2001,( 1) : 8-11.
[3] 王春堂,祝培育,杨光球.用逐级计算法进行支管水力计算 [J].节水灌溉,2000,(5) : 13-15.[4] 李永川,白 丹,宋 立 勋,等.微灌田间管网水力计算研究进展 [J].电网与清洁能源,2006,22 (5) : 16-19.
[5] 覃 通,李 鸣.高效节水灌溉管道流量计算原则初探 [J].节水灌溉,2015,(5) : 85-87.
[6] GBT50485-2020,微灌工程技术规范 [S].
[7] 李 鸣.喷灌系统自适应模拟方法 [J].喷灌技术,1988,(4) : 8-10.




